おかげさまで開設25周年CUPPNCUPP.COM 創業祭

CUPPNCUPP.COM

詳しくはこちら
マイストア マイストア 変更
  • 即日配送
  • 広告
  • 取置可能
  • 店頭受取

HOT ! コウ z-10593_011-1.jpg?1716788918

※CUPPNCUPP.COM 限定モデル
YouTuberの皆様に商品の使い心地などをご紹介いただいております!
紹介動画はこちら

ネット販売
価格(税込)

8410

  • コメリカード番号登録、コメリカードでお支払いで
    コメリポイント : 6ポイント獲得

コメリポイントについて

購入個数を減らす
購入個数を増やす

お店で受け取る お店で受け取る
(送料無料)

受け取り店舗:

お店を選ぶ

近くの店舗を確認する

納期目安:

13時までに注文→17時までにご用意

17時までに注文→翌朝までにご用意

受け取り方法・送料について

カートに入れる

配送する 配送する

納期目安:

2025.12.03 20:20頃のお届け予定です。

決済方法が、クレジット、代金引換の場合に限ります。その他の決済方法の場合はこちらをご確認ください。

※土・日・祝日の注文の場合や在庫状況によって、商品のお届けにお時間をいただく場合がございます。

即日出荷条件について

受け取り方法・送料について

カートに入れる

欲しいものリストに追加

欲しいものリストに追加されました

コウ z-10593_011-1.jpg?1716788918の詳細情報

z-10593_011-1.jpg?1716788918。Soul of Chogokin GX-105 MazingerZ -KAKUMEI SHINKA wotafa's。クロ Fさん専用 KENKO Lens Filter ZX Protector SLIM 37mm。クロスペンダント ネックレス シルバー925チェーンの長さ: 約58cm付属品:保存袋、箱、写真のものは全て付属しますこのネックレスは高品質なシルバーを使用しており、耐久性があり、長期間使用できます。日常使いにも特別な場面にも適したアイテムです即購入可能てす。専用ページ希望方には500円値引き可能。ご覧いただきありがとうございます。。Nutrient Management Influences Root Characteristics and。。VLUGAR CIRCUS necklace share spirit 1点物。た*こ様 モアサナイト s925ネックレス45cm
  • z-10593_011-1.jpg?1716788918
  • Soul of Chogokin GX-105 MazingerZ -KAKUMEI SHINKA wotafa's
  • クロ Fさん専用 KENKO Lens Filter ZX Protector SLIM 37mm
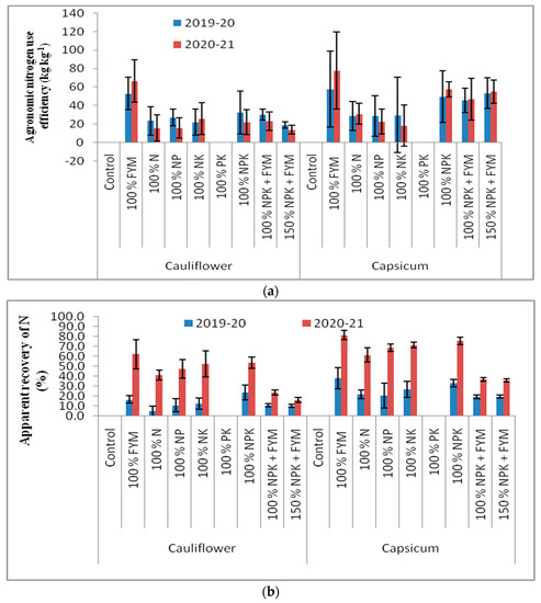
  • Nutrient Management Influences Root Characteristics and

同じカテゴリの 商品を探す

ベストセラーランキングです

このカテゴリをもっと見る

この商品を見た人はこんな商品も見ています

近くの売り場の商品

このカテゴリをもっと見る

カスタマーレビュー

オススメ度  4.6点

現在、6006件のレビューが投稿されています。